Abstract
Objective: Posttransplant infection is common and tough to deal, patients after HSCT rely on immune reconstitution for protection. We desperately need a deeper understanding of how the system works to help the patients overcome the infection.
Method: This study analyzed the disease course of EBV viremia after haplo-HSCT, as well as the laboratory testing data. The sex bias during immune reconstitution was manifested by comparing the outcomes between male and female patients,
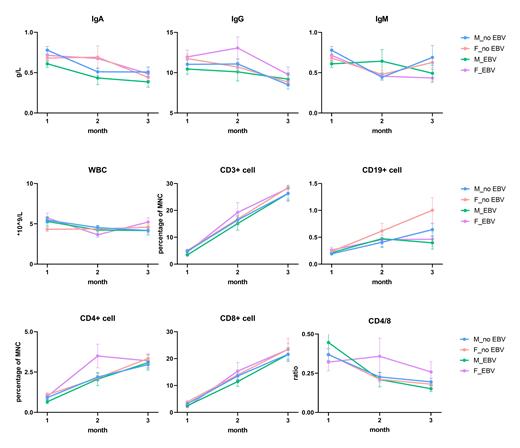
Results: 236 patients received haplo-HSCT in 2013 in our center, at a median follow up of 5 years, among whom 78 patients underwent EBV infection. The incidence of EBV viremia after transplantation is 33.1% in total, with a significant difference between men and women (40.0% and 26.7% respectively, p=0.034). Men tended to have earlier onset time (14-434d after HSCT) and longer duration (7-70d) than women (17-592d after HSCT, 7-30d). Both the initial and peak viral load were higher in men than in women (initial viral load>10 4/ml: men 6.52% vs. women 3.13%, peak viral load>10 5/ml: men 8.70% vs. women 3.13%). To explain this phenomenon, we analyzed the laboratory testing data on 30d and 60d after HSCT. And we found that male patients had higher plasma levels of immunoglobulin M on 60d after HSCT if infected by EBV, referring to more robust induction of innate immune (p=0.033). By contrast, female patients had significantly increased CD4+ T cell during EBV infection, representing more robust activation of adaptive immune (p=0.019).
Conclusion: These findings provide a possible explanation for the observed sex biases in EBV viremia after haplo-HSCT, and provide an important basis for the recognition of immune reconstitution, furthermore, raise concern of the development of a sex-based approach to the treatment and care of male and female patients with infection after HSCT.
No relevant conflicts of interest to declare.

This feature is available to Subscribers Only
Sign In or Create an Account Close Modal